• Предмет: Алгебра
  • Автор: RomanKuznyuk
  • Вопрос задан 3 года назад

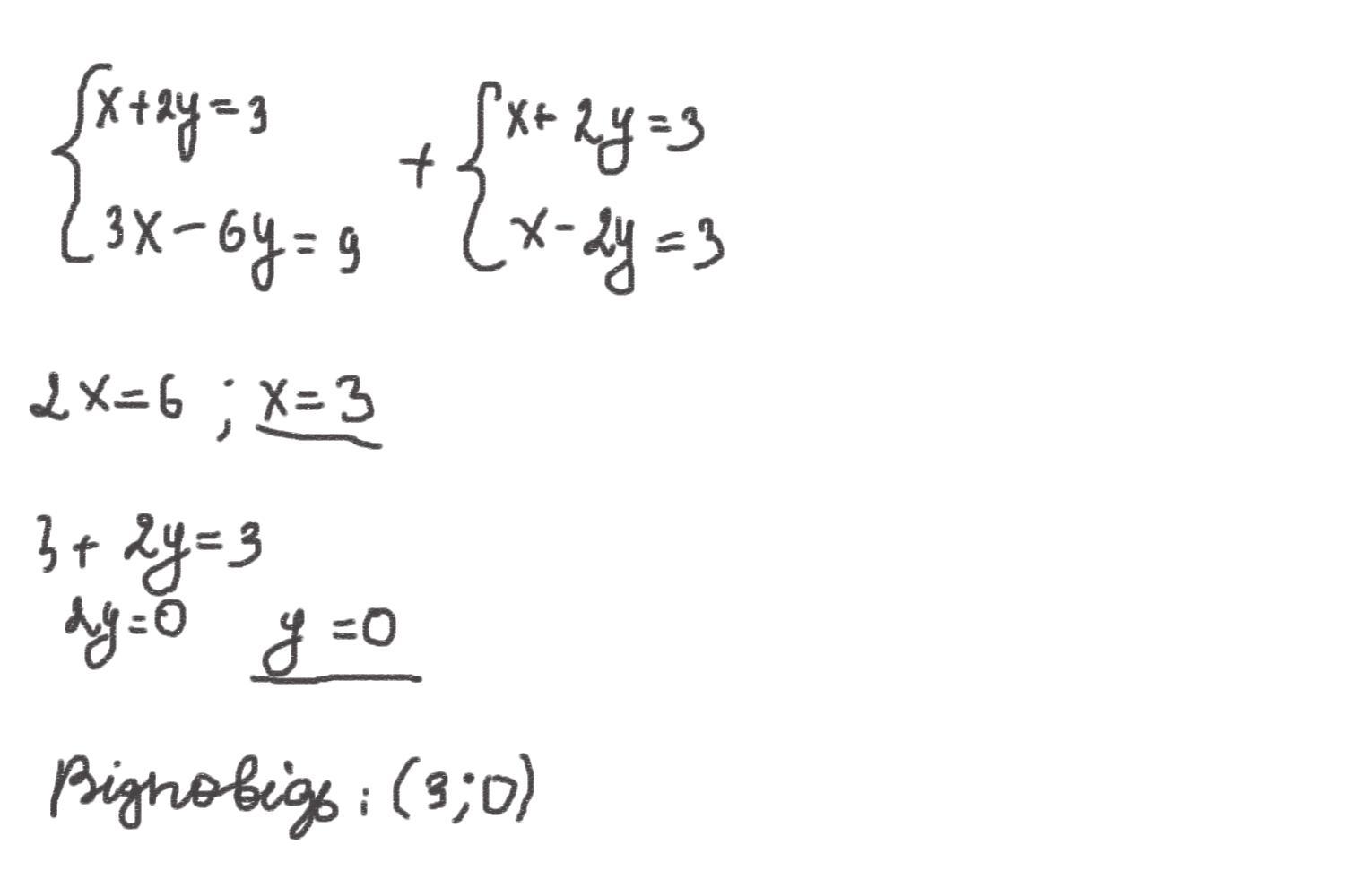
Знайдіть розв’язки системи
{x+2y=3, 3x-6y=9}

Ответы

Ответ дал: kononovfelix
2

Відповідь: (3;0)

рішення у вкладенні

Приложения:
Вас заинтересует