Ответы
Ответ дал:
0
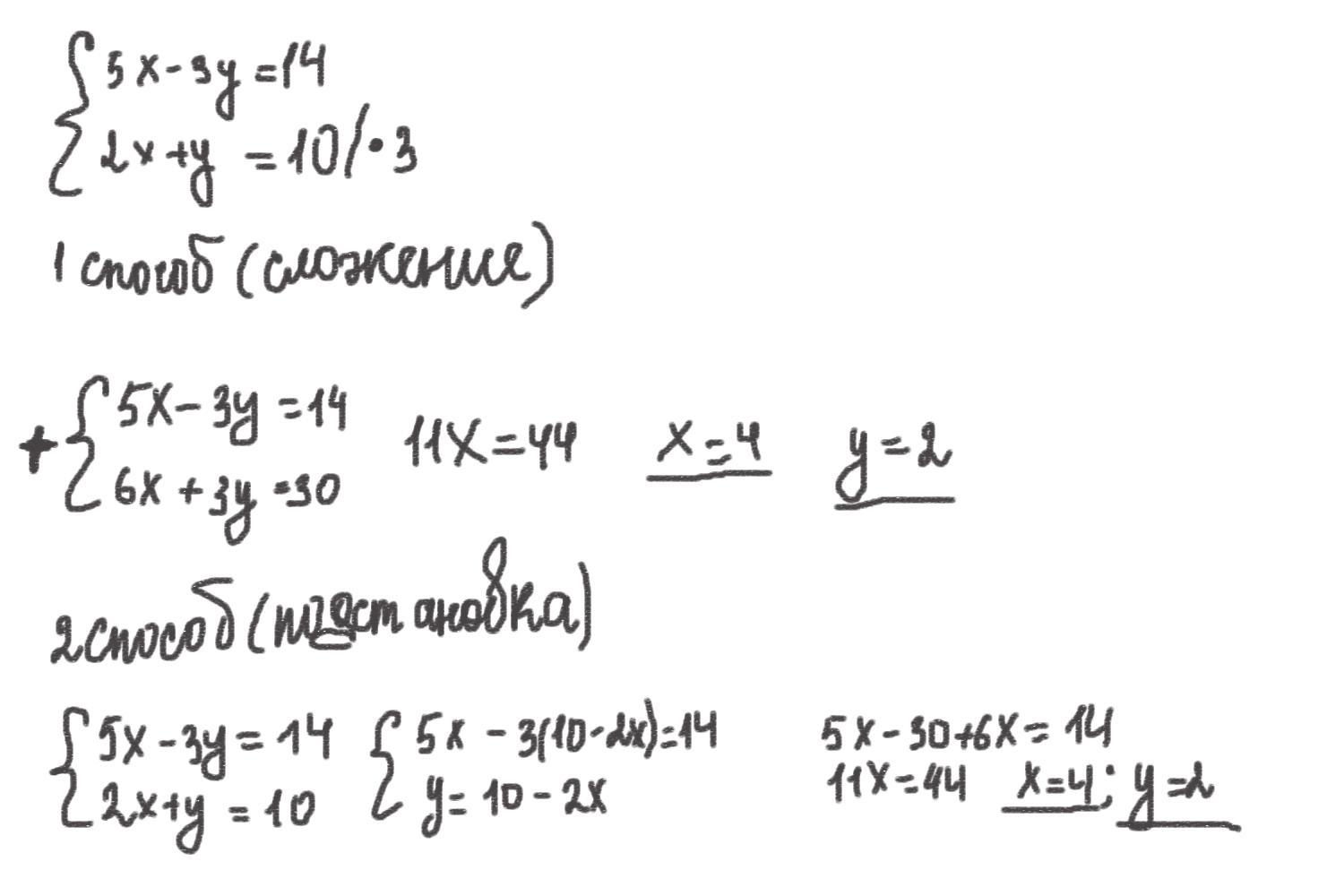
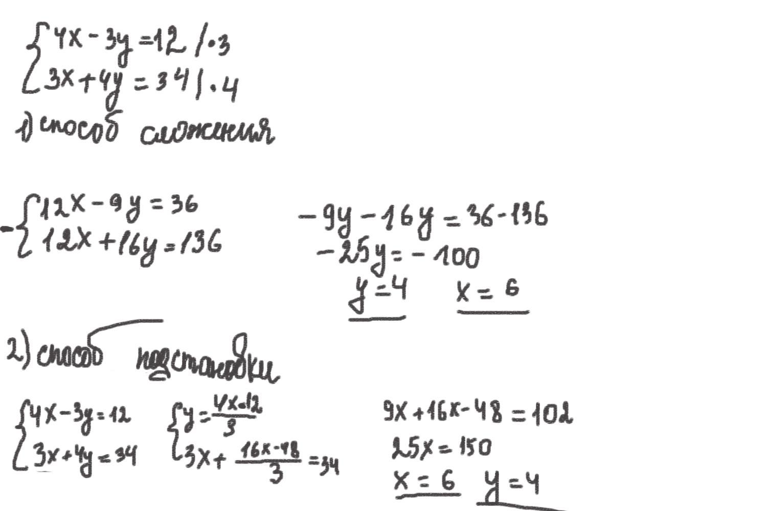
Ответ во вложении...
Приложения:


Вас заинтересует
2 года назад
2 года назад
7 лет назад
9 лет назад