• Предмет: Алгебра
  • Автор: 07032006vika
  • Вопрос задан 3 года назад

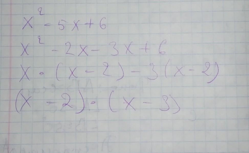
Розкладіть на множники квадратний тричлен

х2 – 5х + 6

Ответы

Ответ дал: jhope35
3

Ответ:

прости но я украинский незнаю поэтому помогла чем могу

Приложения:
Вас заинтересует