СРОЧНО!!!!! НУЖНО РЕШИТЬ В ТЕЧЕНИИ ЧАСА!!!! ПОЖАЛУЙСТА! Кристалл поваренной соли имеет кубическую форму и состоит из чередующихся ионов Na и Cl. Найти среднее расстояние d между их центрами, если плотность соли p=2200 кг/м^3
Ответы
Ответ дал:
0
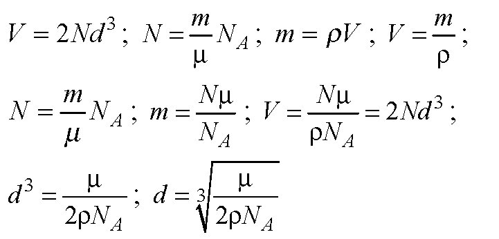
Дано:ρ = 2200 кг/м3, μ =Найти: d
Решение.Пусть в кристале содержится N молекул
Решение.Пусть в кристале содержится N молекул
Приложения:

Ответ дал:
0
объясни посему v=2Nd^3 ?????
Ответ дал:
0
и v - это объем?
Вас заинтересует
2 года назад
8 лет назад
10 лет назад
10 лет назад
10 лет назад