• Предмет: Математика
  • Автор: Аноним
  • Вопрос задан 3 года назад

ПОМОГИТЕ ПЖПЖПЖЖПЖППЖПЖЖПЖППЖПЖЖПЖППЖЖПЖПЖПЖПЖПЖПЖПЖЖППЖПЖПЖЖПЖППЖЖППЖЖППЖПЖПЖЖ​

Приложения:

Ответы

Ответ дал: kalinintalin
1

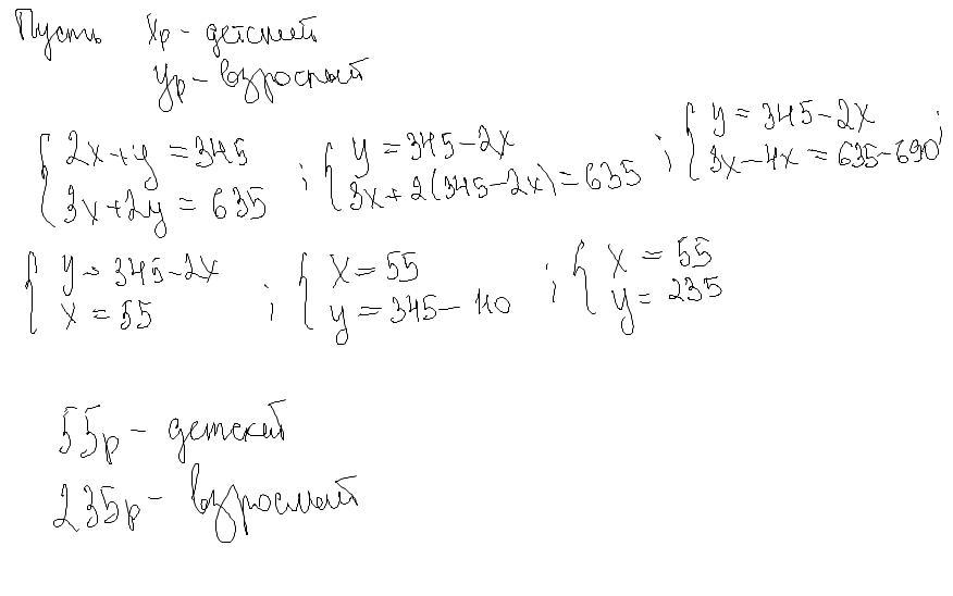
Ответ:

55 - детский

235- взрослый

Пошаговое объяснение:

Приложения:
Ответ дал: Lebrоn
0

Ответ:

55 руб - детский билет

235 руб - взрослый билет

Вас заинтересует