• Предмет: Алгебра
  • Автор: irina180337
  • Вопрос задан 3 года назад

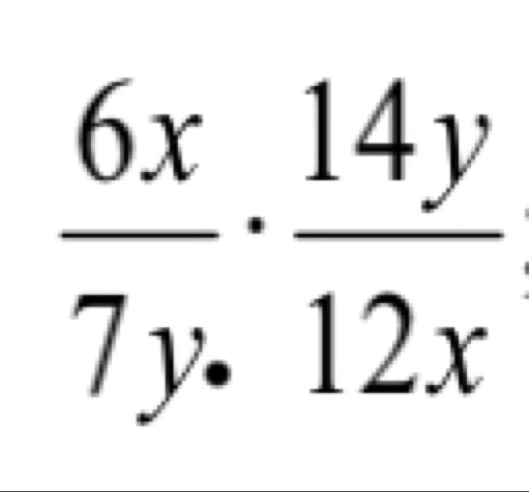
СРОЧНО !!!!Решать не в фото матч там не правильно ,Алгебра 7Класс

Приложения:

Ответы

Ответ дал: sofia334702
1

6x/7y × 14y/12x = 2/2 = 1

/ - знак дроби

Вас заинтересует