• Предмет: Алгебра
  • Автор: neonn2323
  • Вопрос задан 3 года назад

СРОЧНОООО!!!! ПОМОГИТЕ

Приложения:

Ответы

Ответ дал: Kurtkz
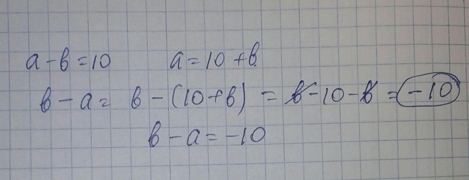
2

ответ можно написать -10

ведь можно сделать так чтобы b был равен нулю


neonn2323: можешь помочь там ещё несколько заданий в профиле?
neonn2323: спасибо
Kurtkz: ну могу
Ответ дал: rzayevaseva78
1

Ответ:

b-a= -10

a=10+a

И подставляем в выражение a-b=10

Приложения:
Вас заинтересует