• Предмет: Алгебра
  • Автор: karinakaipova63
  • Вопрос задан 3 года назад

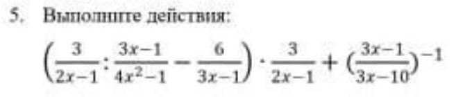
выполните действия (3/2х-1:3х-1/4х²-1-6/3х-1)*3/2х-1+(3х-1/3х-10)-1 помогите пожалуйста срочно ​

Ответы

Ответ дал: axatar
20

Ответ:

1

Объяснение:

Оригинал задачи в приложении.

\displaystyle \tt \left (\dfrac{3}{2x-1} : \dfrac{3x-1}{4x^2-1}-\dfrac{6}{3x-1} \right ) \cdot \dfrac{3}{2x-1}+\left (\dfrac{3x-1}{3x-10} \right )^{-1}.

\displaystyle \tt 1) \; \dfrac{3}{2x-1} : \dfrac{3x-1}{4x^2-1}=\dfrac{3}{2x-1} \cdot \dfrac{4x^2-1}{3x-1}=\\\\=\dfrac{3}{2x-1} \cdot \dfrac{(2x-1) \cdot (2x+1)}{3x-1}=\dfrac{3 \cdot (2x+1)}{3x-1};

\displaystyle \tt 2) \; \dfrac{3 \cdot (2x+1)}{3x-1}-\dfrac{6}{3x-1}=\dfrac{6x+3-6}{3x-1}=\dfrac{6x-3}{3x-1}=\dfrac{3 \cdot (2x-1)}{3x-1};

\displaystyle \tt 3) \; \dfrac{3 \cdot (2x-1)}{3x-1} \cdot \dfrac{3}{2x-1}=\dfrac{3 \cdot 3}{3x-1}=\dfrac{9}{3x-1};

\displaystyle \tt 4) \; \left (\dfrac{3x-1}{3x-10} \right )^{-1}=\dfrac{3x-10}{3x-1};

\displaystyle \tt 5) \; \dfrac{9}{3x-1}+\dfrac{3x-10}{3x-1}=\dfrac{9+3x-10}{3x-1}=\dfrac{3x-1}{3x-1}=1.

Приложения:
Вас заинтересует