Ответы
Ответ дал:
0
пример сам не пишу,сразу решаю
№2
а) 6х²+6x-x-1=20
6x^2+5x-21=0
D=25+4*6*21=25+504=529; √D=23
x1,2=-5 плюс минус 23/12= x1=1,5 x2=-28/12
б) х²+7x-7x-49-11x-30=x²+10x+25+x²-4x+4
x²+7x-7x-49-11x-30-x²-10x-25-x²+4x-4x=0
-x²-21x-104=0
x²+21x+104=0
D=2601-4*104=2601-416=2185; √D=
блин,что-то не получается..
в) через НОЗ решаешь просто
№1
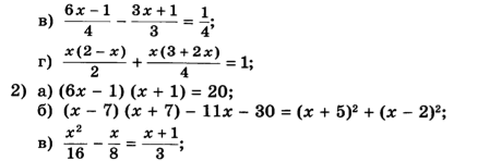
в) НОЗ: 12 ОДЗ: х≠0
3(6х-1)-4(3х+1)=3
18х-3-(12х+4)-3=0
18х-3-12х-4-3=0
6х=10
х=10/6
г) НОЗ: 4 ОДЗ: х≠0
2х(2-х)+х(3+2х)=4
4х-2х²+3х+2х²-4=0
7х=4
х=7/4
х=1,75
№2
а) 6х²+6x-x-1=20
6x^2+5x-21=0
D=25+4*6*21=25+504=529; √D=23
x1,2=-5 плюс минус 23/12= x1=1,5 x2=-28/12
б) х²+7x-7x-49-11x-30=x²+10x+25+x²-4x+4
x²+7x-7x-49-11x-30-x²-10x-25-x²+4x-4x=0
-x²-21x-104=0
x²+21x+104=0
D=2601-4*104=2601-416=2185; √D=
блин,что-то не получается..
в) через НОЗ решаешь просто
№1
в) НОЗ: 12 ОДЗ: х≠0
3(6х-1)-4(3х+1)=3
18х-3-(12х+4)-3=0
18х-3-12х-4-3=0
6х=10
х=10/6
г) НОЗ: 4 ОДЗ: х≠0
2х(2-х)+х(3+2х)=4
4х-2х²+3х+2х²-4=0
7х=4
х=7/4
х=1,75
Вас заинтересует
3 года назад
8 лет назад
11 лет назад
11 лет назад
11 лет назад