• Предмет: Алгебра
  • Автор: Enotik3367
  • Вопрос задан 3 года назад

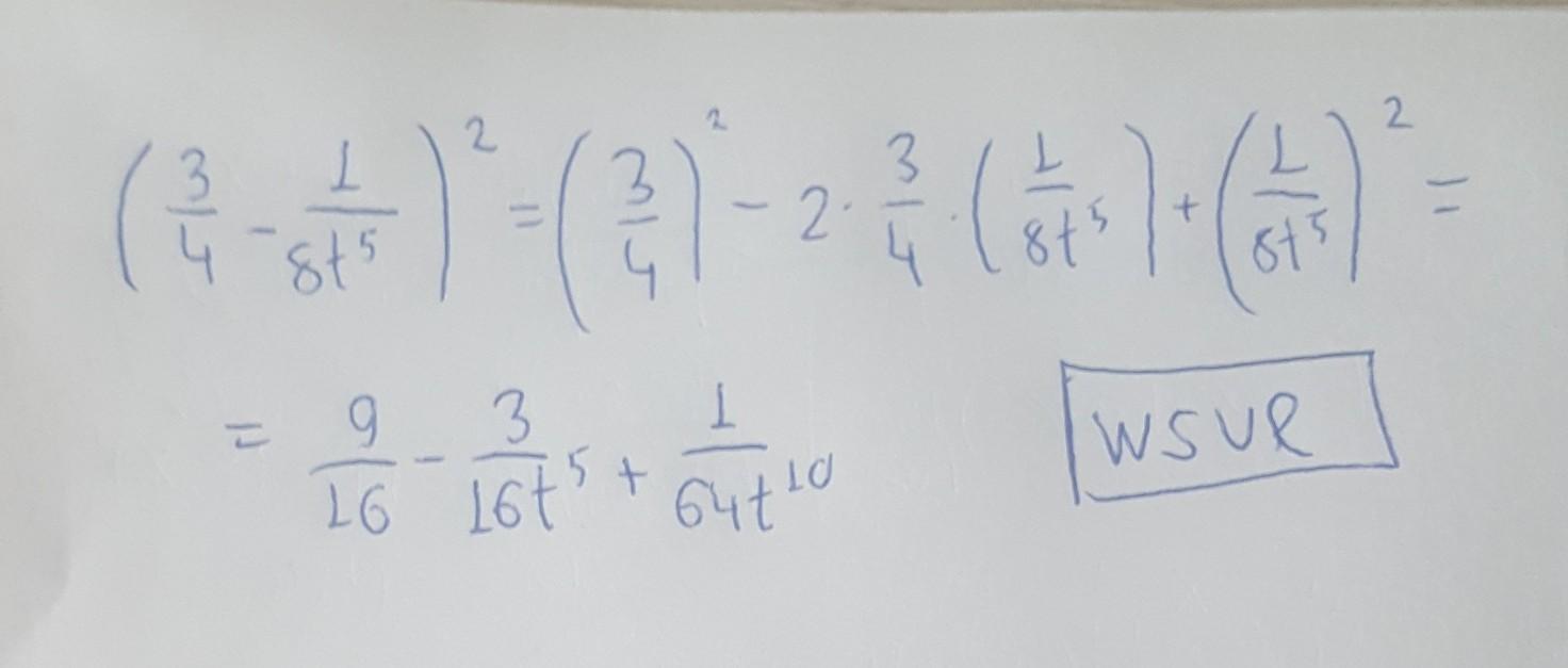
Представь квадрат двучлена в виде многочлена: (3/4−1/8t5)2.

Ответы

Ответ дал: vityamath
0

Решение на фотографии.

Приложения:
Вас заинтересует