• Предмет: Математика
  • Автор: Artur926
  • Вопрос задан 3 года назад

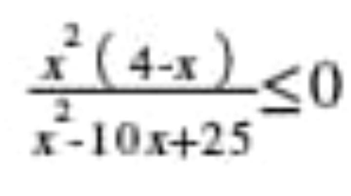
Решите неравенство ​

Приложения:

Ответы

Ответ дал: varabadukova3
2

извините что так много,просто хотела чтоб всё было понятно

Приложения:

Artur926: Спасибо
Вас заинтересует