• Предмет: Алгебра
  • Автор: julia36487
  • Вопрос задан 3 года назад

Найдите значение выражения:
Помогите пожалуйста!!!!!!!!!!!!​

Приложения:

Ответы

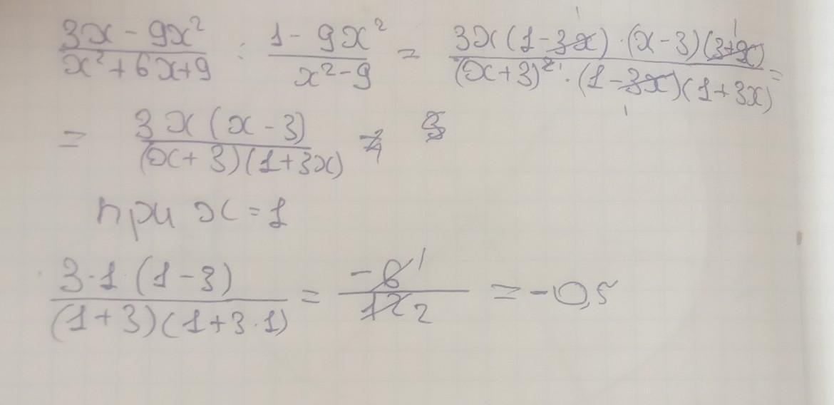
Ответ дал: LizaYouTube
1

значение выражение =-0,5

решение на фото

Приложения:
Вас заинтересует