• Предмет: Алгебра
  • Автор: aleksvysotzckaya
  • Вопрос задан 3 года назад

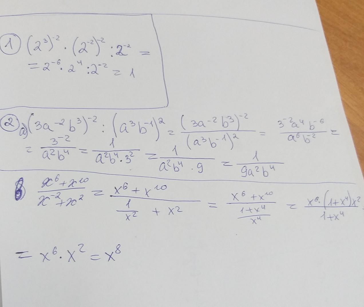
Решите примеры пожалуйста!!

Приложения:

Ответы

Ответ дал: anna971905
1

держите решение вашего задания.

Приложения:
Вас заинтересует