• Предмет: Геометрия
  • Автор: tancikuzinaalbina
  • Вопрос задан 3 года назад

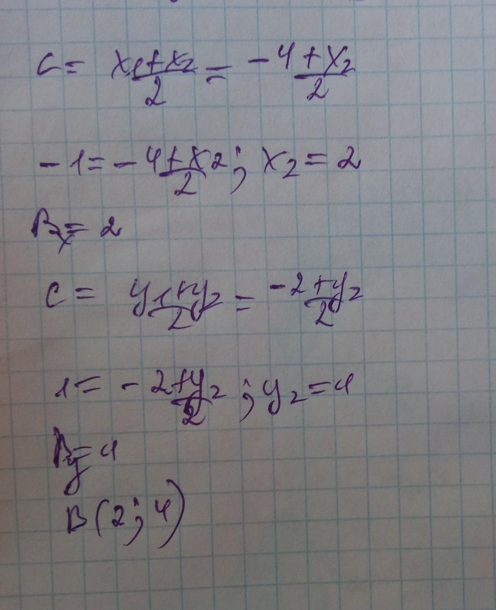
Даны точки А, В, С. Если А( -4; -2) и С(-1; 1) являются серединой отрезка АВ, то найдите координаты точки В.​

Ответы

Ответ дал: hill384
37

решение на фото

-------

Приложения:
Вас заинтересует