• Предмет: Алгебра
  • Автор: leilakassymova1
  • Вопрос задан 3 года назад

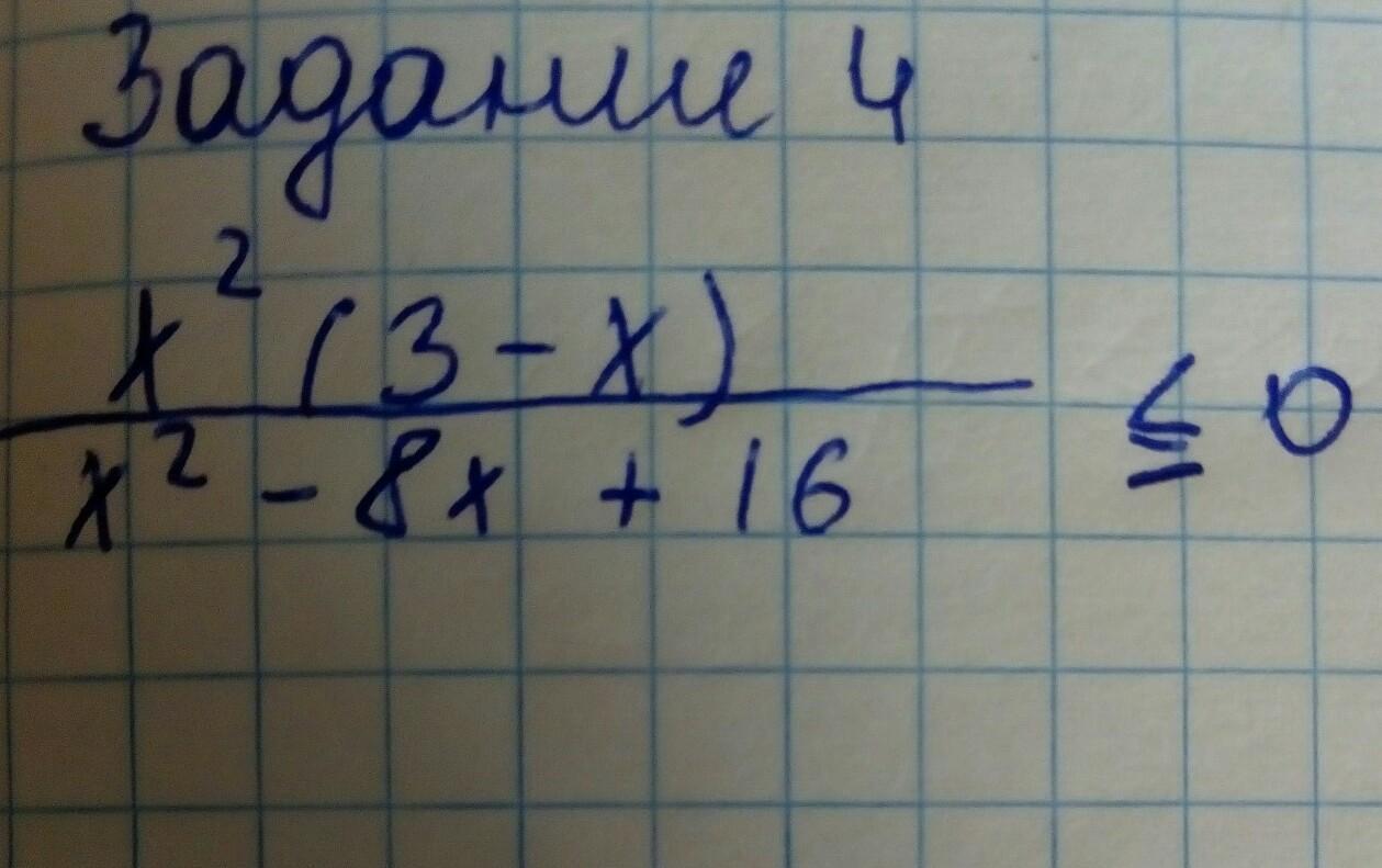
помогите с алгеброй пожалуйста умоляю срочно нужно!!!!!!

Приложения:

Ответы

Ответ дал: afet74
0

Ответ:

Объяснение:

знаменатель    (х-4)^2>0   и     х≠4  

в числителе:   х^2≥0  

3-x≤0

x≥3

x∈ [ 3;4 )∪(4;+∞)

Вас заинтересует