• Предмет: Математика
  • Автор: Dasha1000003
  • Вопрос задан 3 года назад

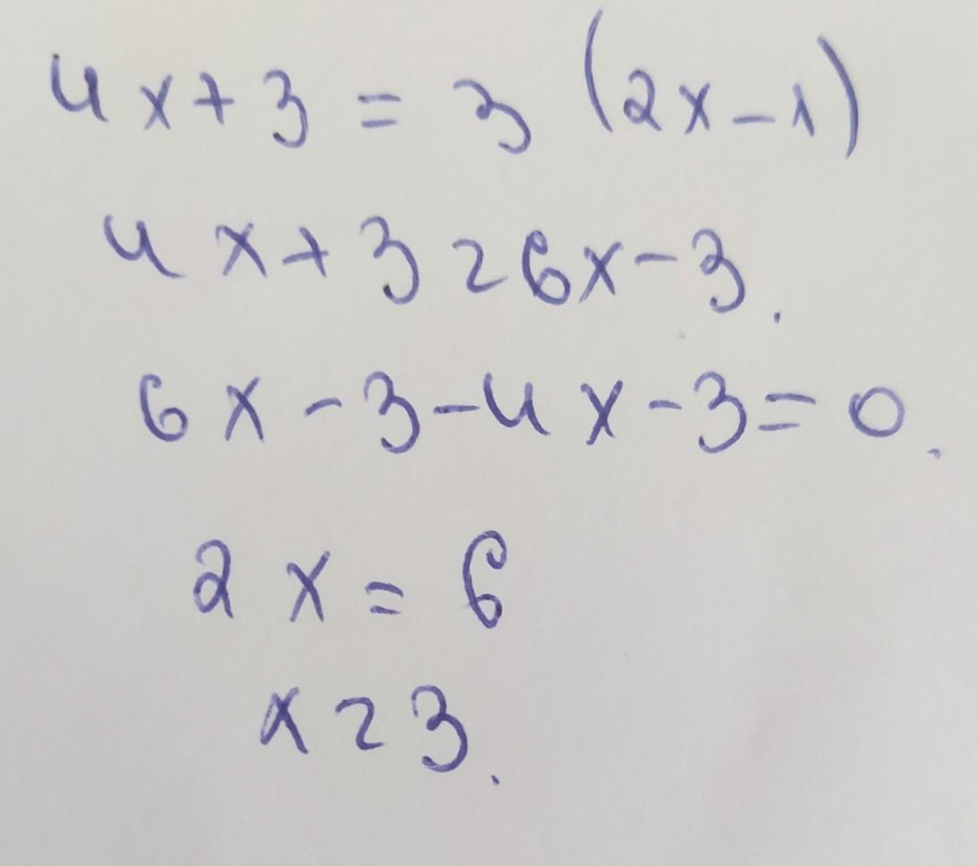
Срочнооо! При якому значенні х значення виразу 4х+3 є у 3 рази більше за значення виразу 2х-1

Ответы

Ответ дал: imamverdiyevaleman13
1

Ответ:

Х равняется 3.... ....

Приложения:
Вас заинтересует