Ответы
Ответ дал:
1
Ответ:
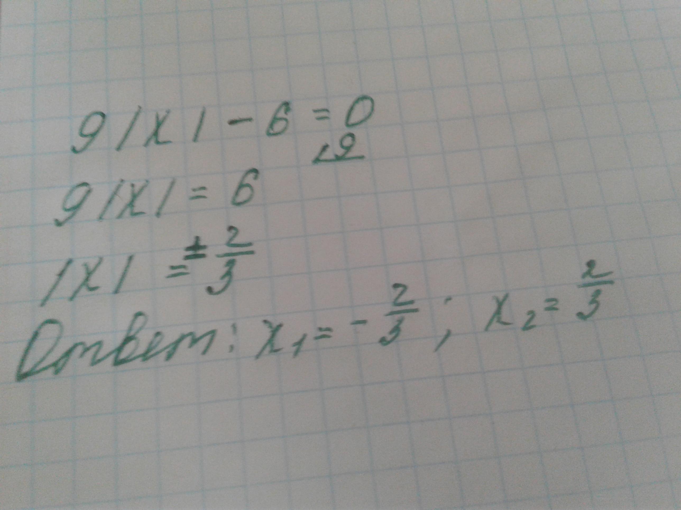
Так как здесь модуль уравнение имеет 2 ответа
Пошаговое объяснение:
Приложения:

worlfan:
Если не сложно, прошу дать ответ (если не сложно то 2 ответа) =)
Вас заинтересует
2 года назад
2 года назад
2 года назад
7 лет назад
7 лет назад
9 лет назад