• Предмет: Алгебра
  • Автор: XxSODAxX
  • Вопрос задан 3 года назад

Алгебра СРОЧНО ПОМОГИТЕ!
РЕБЯТЬ ПОМОГИТЕ!!!
ЗАРАНИЕ СПАСИБО!​

Приложения:

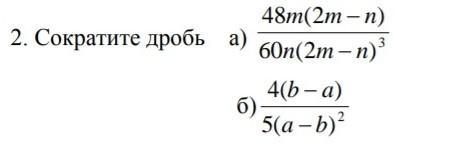
Ответы

Ответ дал: Аноним
0

Ответ:

1) 96m - n / 2m - 60n³

2) 4b - 4a / 5a - 5b

Ответ дал: rariru
0
А)...=12m / 15n(2m-n)^2= 4m / 5n(4m-4mn-n^2) = 4m / 20nm - 20mn^2 - 5n^3
Б)...=4(b-a) / -5 (b-a)^2 = 4 / -5(b-a) = 4/ -5b+5a
Вас заинтересует