• Предмет: Алгебра
  • Автор: Аноним
  • Вопрос задан 3 года назад

help sos помогите срочно нужно

Приложения:

Ответы

Ответ дал: tutya05102005
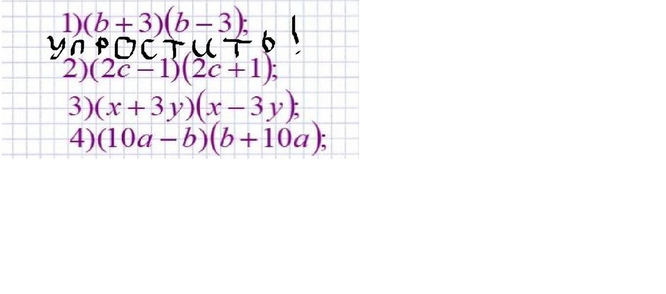
2
1) b^2-9
2)4c^2-1
3)x^2-9y^2
4)100a^2-b^2

1)2(9p-2)
2)1/36*(1-6c)(1+6c)
3)(2x-y)(2x+y)
4)(6x-5y)(6x+5y)
5)(ab-9)(ab+9)
6)(3-a)(3+a)(9+a^2)

Аноним: тебе
tutya05102005: а как добавить :D
Аноним: зайди на мою страницу там будет 2 надписи написать сообщение и отправить приглошение в друзья
tutya05102005: у меня только «отправить сообщение», но отправить не могу, недостаточно ответов ✌
Аноним: а у меня написано что приглошение уже отправлено
Аноним: прикол
tutya05102005: не могу добавить ✌
Аноним: приколно
Аноним: а ты посмотри в приглошениях
tutya05102005: у меня вообще нет этой кнопки
Вас заинтересует