• Предмет: Алгебра
  • Автор: malikataibova200007
  • Вопрос задан 3 года назад

!!!!при каких значениях переменной х значение алгебраической дроби будет равно нулю ??
помогите пожалуйста​

Приложения:

Ответы

Ответ дал: Zombynella
0

Ответ:

х₁= -3/2-√13/2;    

х₂= -3/2+√13/2.

х≠9, х≠ -9.

Объяснение:

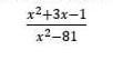
(х²+3х-1) / (х²-81)=0

1)В знаменателе х, (х²-81)=(х-9)(х+9, значит, по ОДЗ х≠9, х≠ -9.

2)Числитель приравняем к нулю и решим как квадратное уравнение:

х²+3х-1=0

D=b²-4ac = 9+4=13        √D= √13

х₁=(-b-√D)/2a

х₁=(-3-√13)/2

х₁= -3/2-√13/2;            

х₂=(-b+√D)/2a

х₂=(-3+√13)/2

х₂= -3/2+√13/2

Вас заинтересует