• Предмет: Алгебра
  • Автор: amigosdimonkos
  • Вопрос задан 3 года назад

x⁵(x³)³ пж срочно прям дуже надо

Ответы

Ответ дал: Ilyazov45
0

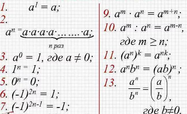
Ответ:

x^{14}

Объяснение:

x^{5}(x^{3}) ^{3} =x^{5}x^{9}=x^{5+9}=x^{14}

Приложения:
Ответ дал: propeter09
0
Братан x=14 вот держи
Вас заинтересует