• Предмет: Математика
  • Автор: botaeee16
  • Вопрос задан 3 года назад

Помогитеее дам 30 баллов❤️​

Приложения:

Ответы

Ответ дал: asylajberik
0

a¹>a²=25

a¹+a²=77

a¹+a²+25=77

2a=77-25

2a=52

a=52/2

a=26

a¹=26+25=51

a1=51 a²=26


botaeee16: это правильно?
asylajberik: да
botaeee16: хорошо
botaeee16: пасибо
botaeee16: буду надеяться
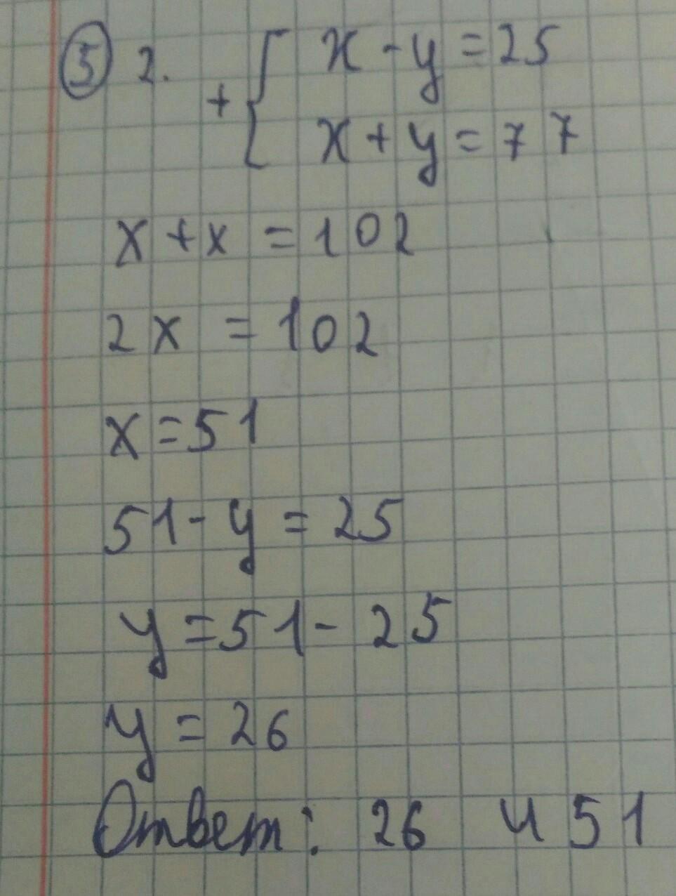
Ответ дал: Nastyacat5445
0

Ответ:

Ответ на фотографии!

Удачи

Приложения:
Вас заинтересует