• Предмет: Алгебра
  • Автор: daniizpanin
  • Вопрос задан 3 года назад

Решите пожалуйста систему линейных уравнений методом сложения.

Приложения:

Ответы

Ответ дал: Zombynella
0

Ответ:

Решение системы уравнений (0,6; -1)

Объяснение:

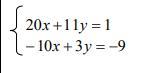
Решить систему линейных уравнений методом сложения:

20х+11у=1

-10х+3у= -9

Смысл метода алгебраического сложения в том, чтобы при сложении уравнений одно неизвестное взаимно уничтожилось. То есть, чтобы коэффициенты при неизвестном каком-то были одинаковыми, но с противоположными знаками. Для того, чтобы этого добиться, преобразовывают уравнения, можно умножать обе части уравнения на одно и то же число, делить.

В данной системе нужно второе уравнений умножить на 2:

20х+11у=1

-20х+6у= -18

Складываем уравнения:

20х-20х+11у+6у=1-18

17у= -17

у= -1

Теперь подставляем значение у в любое из двух уравнений системы и вычисляем х:

20х+11у=1

20х=1-11у

20х=1-11*(-1)

20х=1+11

20х=12

х=12/20

х=0,6

Решение системы уравнений (0,6; -1)

Вас заинтересует