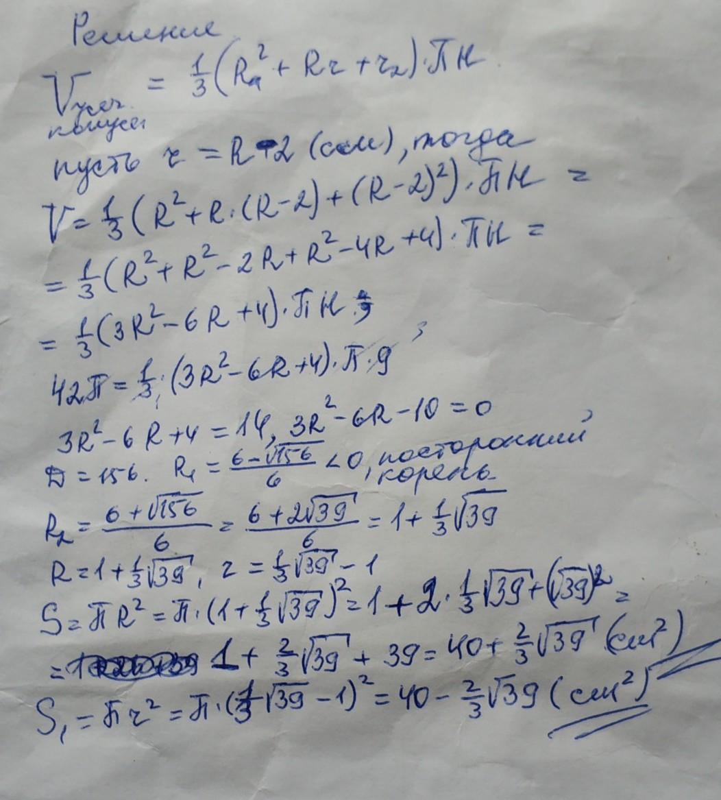
В усечённом конусе разность радиусов оснований равна 2 см, высота равна 9 см и его объём равен 42π см³. Определите площади оснований.
Можно пожалуйста решение подробное и с рисунком)
50 балов
Ответы
Ответ дал:
0
Ответ:
S=40+(2/3)√39 см^2
S1=40-(2/3)√39 см^2
Объяснение:
решение во вложении
Приложения:


Вас заинтересует
2 года назад
2 года назад
2 года назад
7 лет назад
7 лет назад
9 лет назад
9 лет назад