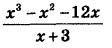
Знайдіть значення х, при яких дріб дорівнює нулю:
Варіанти відповіді:
А)-1;0;5
Б)0;4
B)-3;0;4
Г)-1;0
Приложения:

Ответы
Ответ дал:
2
Дробь равна нулю, если числитель равен нулю, а знаменатель неравен нулю.
x = {0;4}
Ответ: Б) 0;4.
ilko06:
Спасибо)
Вас заинтересует
2 года назад
2 года назад
2 года назад
2 года назад
7 лет назад
7 лет назад
9 лет назад