• Предмет: Алгебра
  • Автор: Kravakol
  • Вопрос задан 3 года назад

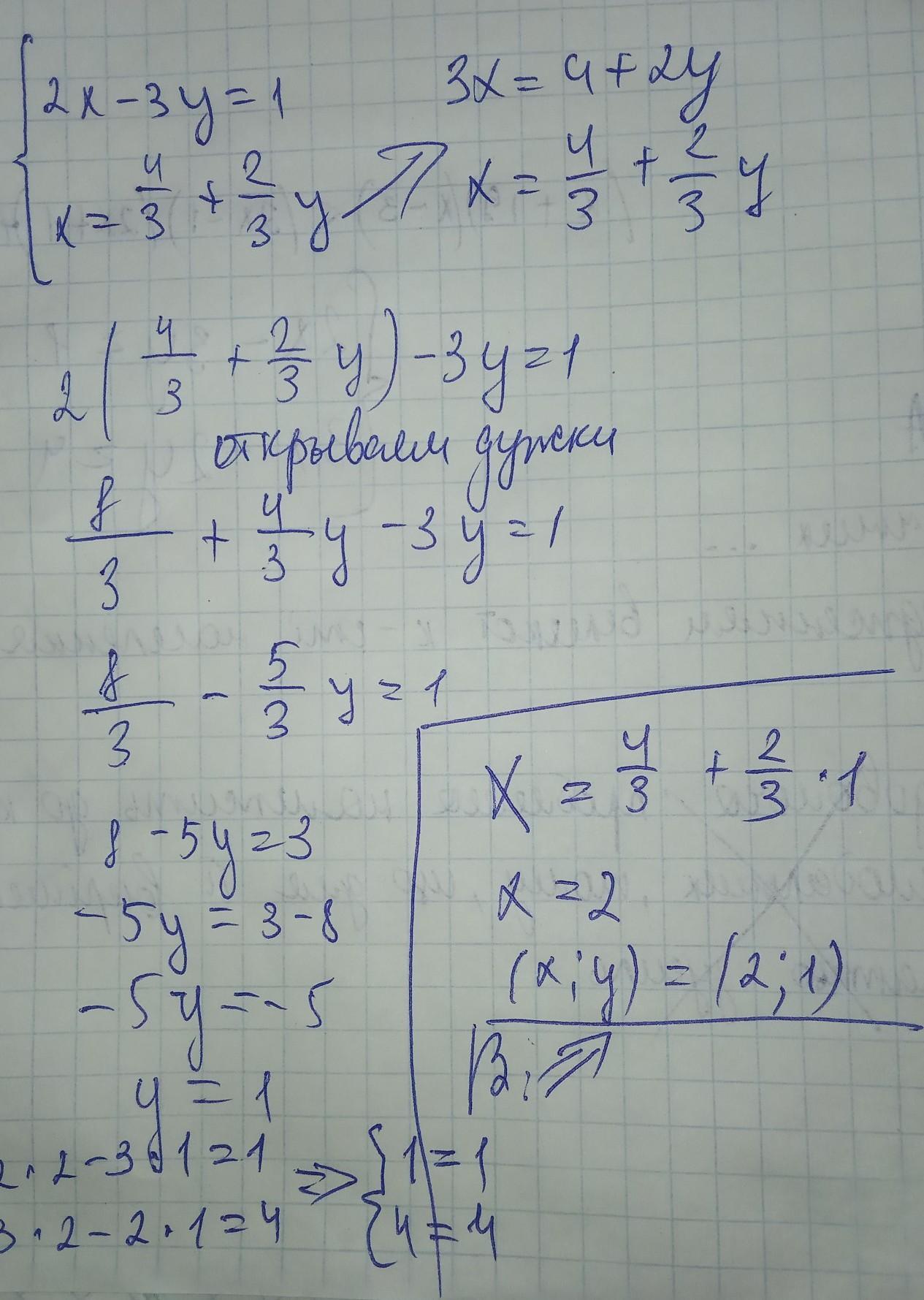
Решить систему линейных уравнений (на фото) очень срочно нужно пожалуйста

Приложения:

Ответы

Ответ дал: Elia2018
1

Ответ:

(x;y)=(2;1)

Объяснение:

надеюсь поймёшь

Приложения:
Ответ дал: victoriapavletsova
0

Ответ:

В фооооттоооооо

Объяснение:

Всё в фотттоооо

Приложения:
Вас заинтересует