• Предмет: Алгебра
  • Автор: fortnitefungf
  • Вопрос задан 3 года назад

зарание спасибо за ответ.
(ответ нужен в течение часа)
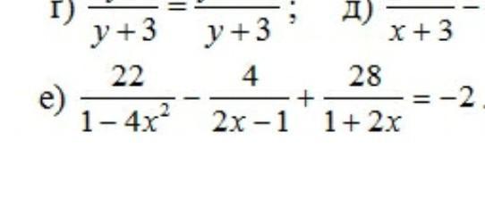
​нужна е)

Приложения:

Ответы

Ответ дал: alenapotapenko42
1

Ответ:

х1=-7, х2=1

Объяснение:

\frac{22}{(1-2x)(1+2x)}+\frac{4}{1-2x}  +\frac{28}{1+2x}=-2

приведем к общему знаменателю:

\frac{22+4(1+2x)+28(1-2x)}{(1-2x)(1+2x)}=-\frac{2(1-4x^{2}) }{(1-2x)(1+2x)}\\

так как на0 делить нельзя то:

(1-2х)≠0 -2х≠-1 х≠0,5  (1+2х)≠0  2х≠-1  х≠-0,5

Найдем значение х.

22+4+8х+28-56х=-2+8x^{2}

54-48х=-2+8x^{2}

-8x^{2}-48х+56=0

Делим все на -8

x^{2}+6х-7=0

х1=-7 х2=1 по теореме Виета

Вас заинтересует