• Предмет: Алгебра
  • Автор: moskalenkoartyrmosa
  • Вопрос задан 3 года назад

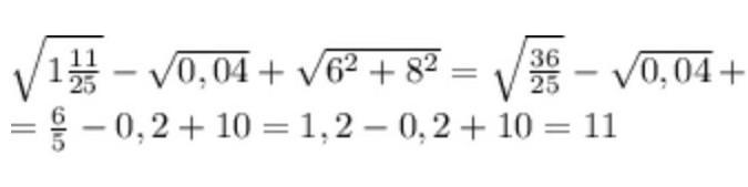
Помогите спасти пожалуста √1 \frac{11}{25}

Ответы

Ответ дал: volkovaalena863
0

вот ответ.

надеюсь правильно)

Приложения:
Вас заинтересует