• Предмет: Алгебра
  • Автор: legion65656557
  • Вопрос задан 3 года назад

.................................

Приложения:

Ответы

Ответ дал: Злайка
0

Відповідь:

Пояснення:

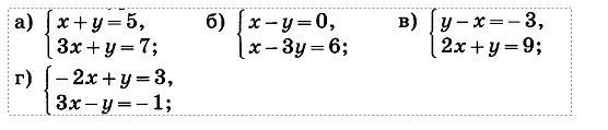
  • a) \left \{ {{x+y=5} \atop {3x+y=7}} \right. ;     \left \{ {{y=5-x} \atop {3x+5-x=7}} \right. ;   2x=2;  x=1;  y=5-1=4
  • б)\left \{ {{x-y=0} \atop {x-3y=6}} \right. ;      \left \{ {{x=y} \atop {y-3y=6}} \right. ;   -2y=6;  y=-3;  x=-3
  • в)\left \{ {{y-x=-3} \atop {2x+y=9}} \right. ;     \left \{ {{y=x-3} \atop {2x+x-3=9}} \right. ;   3x=12;   x=4;  y=4-3=1
  • г) \left \{ {{-2x+y=3} \atop {3x-y=-1}} \right. ;   \left \{ {{y=3+2x} \atop {3x-3-2x=-1}} \right.;  x=-1+3=2;  y=3+4=7
Вас заинтересует