• Предмет: Математика
  • Автор: nikbystrov06
  • Вопрос задан 3 года назад

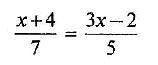
помогите с решением уровнения

Приложения:

Ответы

Ответ дал: hedggehog
0

решаем как пропорцибю:

5(х+4)=7(3х-2)

5х+20=21х-14

21х-5х=20+14

16х=34

х=34/16=17/8

Ответ: х=17/8

Вас заинтересует