• Предмет: Алгебра
  • Автор: nivawi5048
  • Вопрос задан 3 года назад

СРОЧНО!!!!!!!!!!!!!!!!!

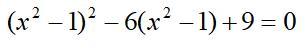
Розв'яжіть рівняння

Приложения:

Ответы

Ответ дал: n1982
0

Ответ:

((х²-1)-3)²=0

х²-1-3=0

х²=4

х=±2

Объяснение:

Вас заинтересует