• Предмет: Математика
  • Автор: aliyaabdulova2014
  • Вопрос задан 3 года назад

Никольский 7 класс номер 708​

Ответы

Ответ дал: mosmolovskayaphone
0

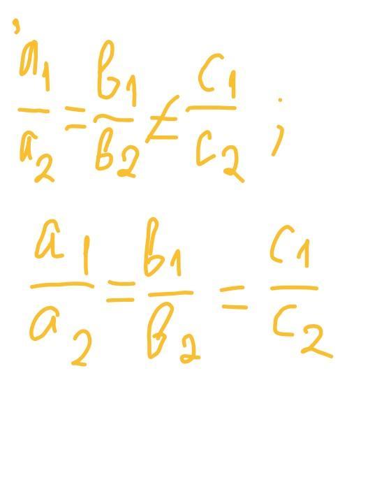
Ответ:

последняя формула правильная,а 1 нет.

Приложения:

aliyaabdulova2014: спасибо
Вас заинтересует