Ответы
Ответ дал:
3
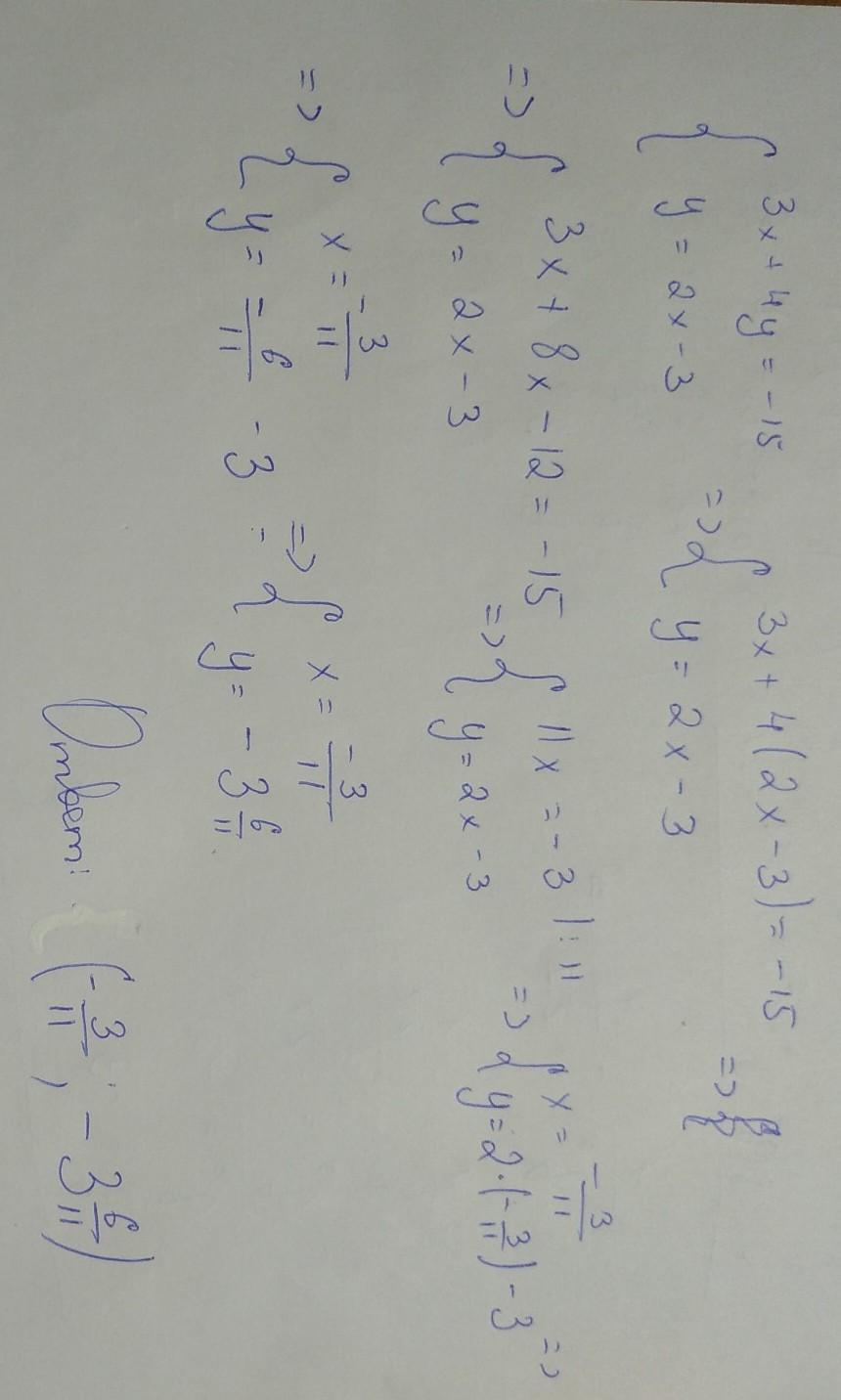
3x + 4y = -15
y=2x-3
1) Т.к y уже выражен, то просто подставляем его в первое уравнение:
3x + 4(2x - 3) = -15
3x + 8x - 12 = -15
2) Всё, что связано с X оставляем справа, всё остальное - переносим с обратным знаком.
3x + 8x = -15 + 12
11x = -3 | :11
x = -3/11 = - 0,3
3) Подставляем полученный x во второе уравнение
y = 2x - 3
y = 2*0,6 - 3
у = -1,8
Ответ: (-0,3; -1,8)
Ответ дал:
1
Ответ:
вооооооооооооооооот
Объяснение:
тааам.
Приложения:

Вас заинтересует
2 года назад
2 года назад
2 года назад
2 года назад
7 лет назад
9 лет назад