• Предмет: Русский язык
  • Автор: milanapotapova55
  • Вопрос задан 3 года назад

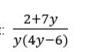
найдите допустимые значения в переменной в выражении ​

Приложения:

Ответы

Ответ дал: WallStreet2
0

y(4y-6)≠0

=>

y≠0

4y-6≠0; y ≠ 3/2

y ≠ 0 и y ≠ 1.5


gazaliya0301: почему 3/2 откуда взято?
WallStreet2: потому что 4y=6; y =6/4 = 3/2
Вас заинтересует