• Предмет: Математика
  • Автор: lebedevaluda1987
  • Вопрос задан 3 года назад

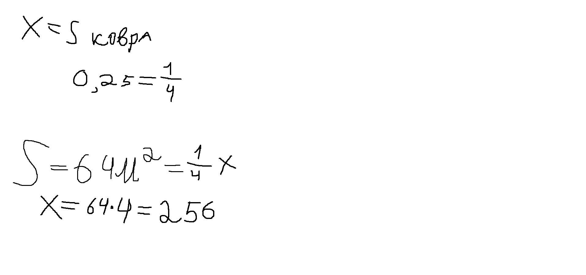
площа килима для карате = 64 м в крадрате і становить 0,25 плочі килима чому = площа килима?

Ответы

Ответ дал: pvzhuk
4

Ответ:256

Пошаговое объяснение:

0,25 =1/4, 1=4;

64×4=256


lebedevaluda1987: а можно ришение задачи?
lebedevaluda1987: площа килима для карате = 64 м в крадрате і становить 0,25 плочі килима чому = площа килима? решы ету
lebedevaluda1987: плз
lebedevaluda1987: ой
lebedevaluda1987: Фермер зибрав 644 т. зерна. Першого дня вин зибрав 2/7 усього зерна , а другого 3/7. Скільки тонн зерна фермер зібрав за 2 дні? вот
pvzhuk: 644*2/7=184
pvzhuk: 644*3/7=276
pvzhuk: 184+276=460
pvzhuk: Ответ: 460
Ответ дал: Andere38
1

Ответ:

256 м в квадрате

Пошаговое объяснение:

т.к. 0,25 это 1/4

64*4=256

Приложения:

Andere38: вот
Andere38: 256 м^2
Вас заинтересует