• Предмет: Алгебра
  • Автор: LapoO
  • Вопрос задан 3 года назад

Даю 70 баллов!
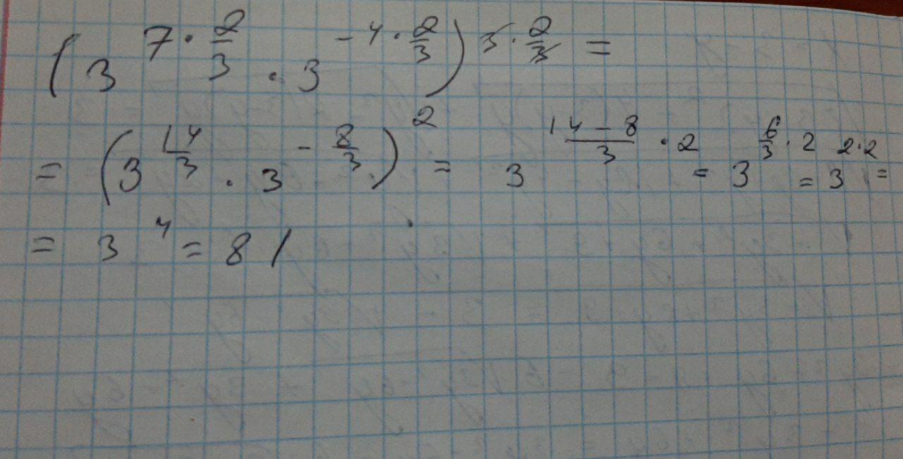
Найдите значение выражения при p = 2:3

Приложения:

Ответы

Ответ дал: shahzod77
0

Ответ: ВЛОЖЕНО

Объяснение:

Приложения:
Вас заинтересует