• Предмет: Алгебра
  • Автор: toilet228
  • Вопрос задан 3 года назад

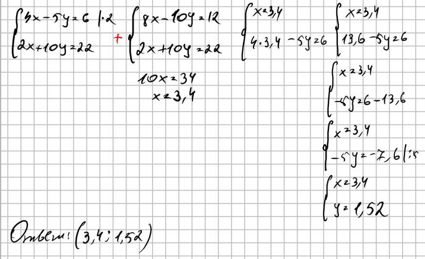
Решить систему уравнений :4x - 5y=6 2x+10y=22​

Ответы

Ответ дал: Ilyazov45
1

Ответ:

(3,4;1,52)

Объяснение:

Приложения:
Вас заинтересует