• Предмет: Алгебра
  • Автор: alenamisanov3
  • Вопрос задан 3 года назад

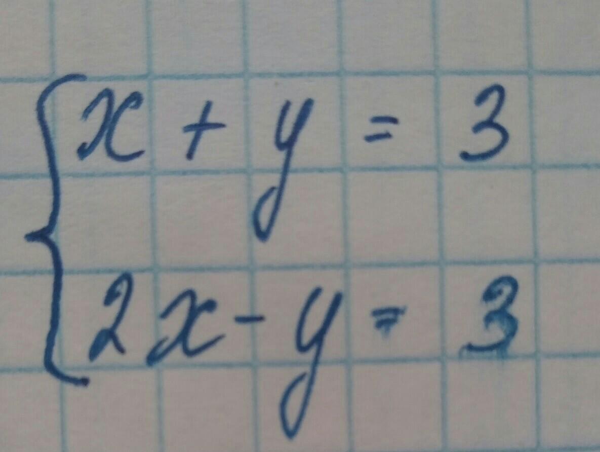
решить систему уравнений способом сложения.​

Приложения:

Ответы

Ответ дал: postoutenko30
1

Ответ:

\left \{ {{x+y=3} \atop {2x-y=3}} \right.

x+y+2x-y=6

3x=6

x=2

2+y=3

y=1

(2;1)

Объяснение:

Вас заинтересует