• Предмет: Алгебра
  • Автор: Oleg15556
  • Вопрос задан 3 года назад

ДОПОМОЖІТЬ ДАЮ 35 БАЛІВ

Приложения:

Ответы

Ответ дал: hill384
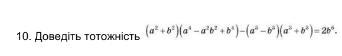
1

(a²+b²)(a^4-a²b²+b^4)-(a³-b³)(a³+b³)=2b^6

(a²+b²)(a^4-a²b²+b^4)-(a³-b³)(a³+b³)=a^6+b^6-a^6+b^6=2b^6

2b^6=2b^6—цим і доведемо тотожність


Oleg15556: а що означає "^"?
hill384: степінь "^2"—це "²". Просто в мене в клавіатурі немає 6 до степеня
Вас заинтересует