Ответы
Ответ:
x∈[-4;4]
Объяснение:

Ответ:
x∈[-4 ; 4]
Объяснение:
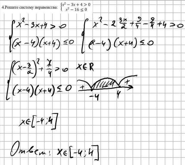
Решим каждое неравенство в отдельности:
1)
Приравняем к 0, чтобы найти корни уравнения:
Это обычное квадратное уравнение, значит, сначала найдем дискриминант:
D < 0, а значит, вещественных корней нет.
Значит, неравенство выполняется ВСЕГДА или НИКОГДА. Проверим, подставив любое число в уравнение. Например, x = 10:
Получили значение больше 0, значит, неравенство выполняется ВСЕГДА при ЛЮБЫХ значениях x
x ∈ (-∞ ; +∞)
2)
Приравняем к 0 и найдем корни:
Получили 2 корня. Наносим их на координатную ось, ставим 2 точки: -4 и 4. Далее расставляем знаки функции на участках (путем подстановки любого числа из этого участка: до -4 возьмем -10, подставим в уравнение и получим положительное число → +; между -4 и 4 возьмем 0, подставим, получим отрицательное число → –; от 4 и далее возьмем 10 и получим положительное число → +). Нам нужен тот участок, в котором функция принимает ОТРИЦАТЕЛЬНОЕ значение, т.е. там где стоит минус.
Значит ответ: x∈[-4 ; 4]
Скобки квадратные, т.е. неравенство строгое (есть знак равно).
