Ответы
Ответ дал:
1
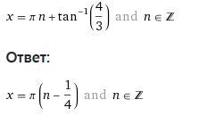
3sin^2x-sinxcosx-4cos^2x=0
Приложения:

Вас заинтересует
2 года назад
2 года назад
2 года назад
7 лет назад
7 лет назад
9 лет назад