ПОМОГИТЕ ПОЖАЛУЙСТА !!!
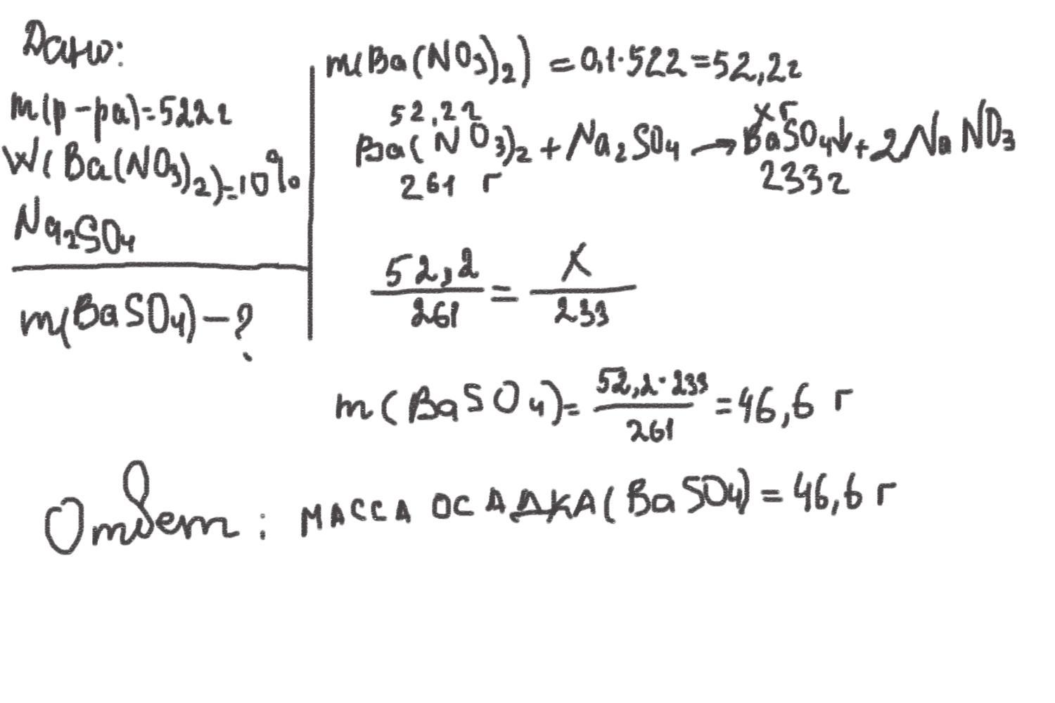
Какая масса осадка образуется резудьтати взаимодействие 522г раствора барий нитрата с массовой долей растворенного вещества 10% с раствором натрия сульфата?
ВОТ НА УКРАИНСКОМ.
Яка маса осаду утвориться резудьтаті взаємодіі 522г розчину барій нітрату з масовою часткою розчиненої речовини 10% з розчином натрій сульфату?
Ответы
Ответ дал:
6
Ответ: масса BaSO4 = 46,6 г
Приложения:

Вас заинтересует
2 года назад
2 года назад
2 года назад
2 года назад
7 лет назад
9 лет назад