• Предмет: Алгебра
  • Автор: alinoshka1234557
  • Вопрос задан 3 года назад

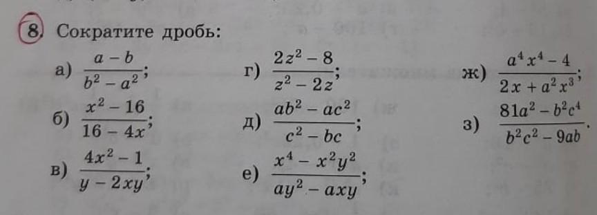
СРОЧНО! Сократите дробь, с подробным решением, пожалуйста. Под буквой З ​

Приложения:

Ответы

Ответ дал: NNNLLL54
1

\dfrac{81a^2-b^2c^4}{b^2c^2-9ab}=\dfrac{(9a)^2-(bc^2)^2}{b\, (bc^2-9a)}=\dfrac{(9a-bc^2)(9a+bc^2)}{-b\, (9a-bc^2)}=-\dfrac{9a+bc^2}{b}


alinoshka1234557: СПАСИБО В остальном сама разобралась
NNNLLL54: :)))
Вас заинтересует