• Предмет: Алгебра
  • Автор: snezhikz
  • Вопрос задан 3 года назад

Решить неравенство: (х 3) (x + 4) < 0
Помните пожалуйста, нужно подробное решение. Даю 30 баллов

Приложения:

Ответы

Ответ дал: nekochiz
0

В файле показано как решать

Приложения:
Ответ дал: rodik2004
0

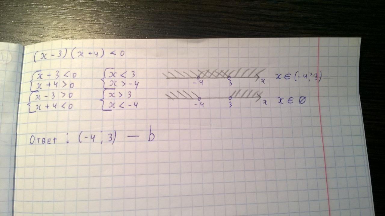
Ответ: На фото.

Объяснение: Возможны два случая, когда при а * b (в нашем случае а = (х - 3), b = (x + 4) ) может быть < 0: когда в первой системе a < 0, b > 0 и во второй a > 0, b < 0 (это вы можете увидеть на фото прямо под неравенством. Переносим числа, получаем:

1 система {x < 3, x > -4

2 система {x > 3, x < -4

Рисуем ось х возле каждой системы и ставим цифры. Позже начинаем зачеркивать определённые участки. Как это делать?

1 система: х < 3 - кончик знака < указывает налево, значит зачеркиваем всю координату до левого края. x > -4 - знак указывает направо, зачеркиваем всё до правого конца, начиная с -4. Пересечение этих "шриховочек" и будет решением системы. В нашей ситуации это числа от -4 до 3 (но сами эти числа не включаются, ведь x < 3 и x > -4, поэтому мы пишем их в круглые скобки. Если бы был знак больше/меньше и равно, то эти числа мы будет включать, а так же мы их поставим в квадратные скобки).

2 система: тоже самое делаем и для неё. "Штриховочки" не пересекаются, значит у этой системы нет решения (x принадлежит пустому множеству). Значит, решение (x - 3)(x + 4) < 0 даёт нам решение первой системы: (4 ; 3).

Значит ответ b.

Приложения:
Вас заинтересует