Ответы
Ответ дал:
1
Ответ:
1
Пошаговое объяснение:
kattyaofficiall:
не правильно
Ответ дал:
0
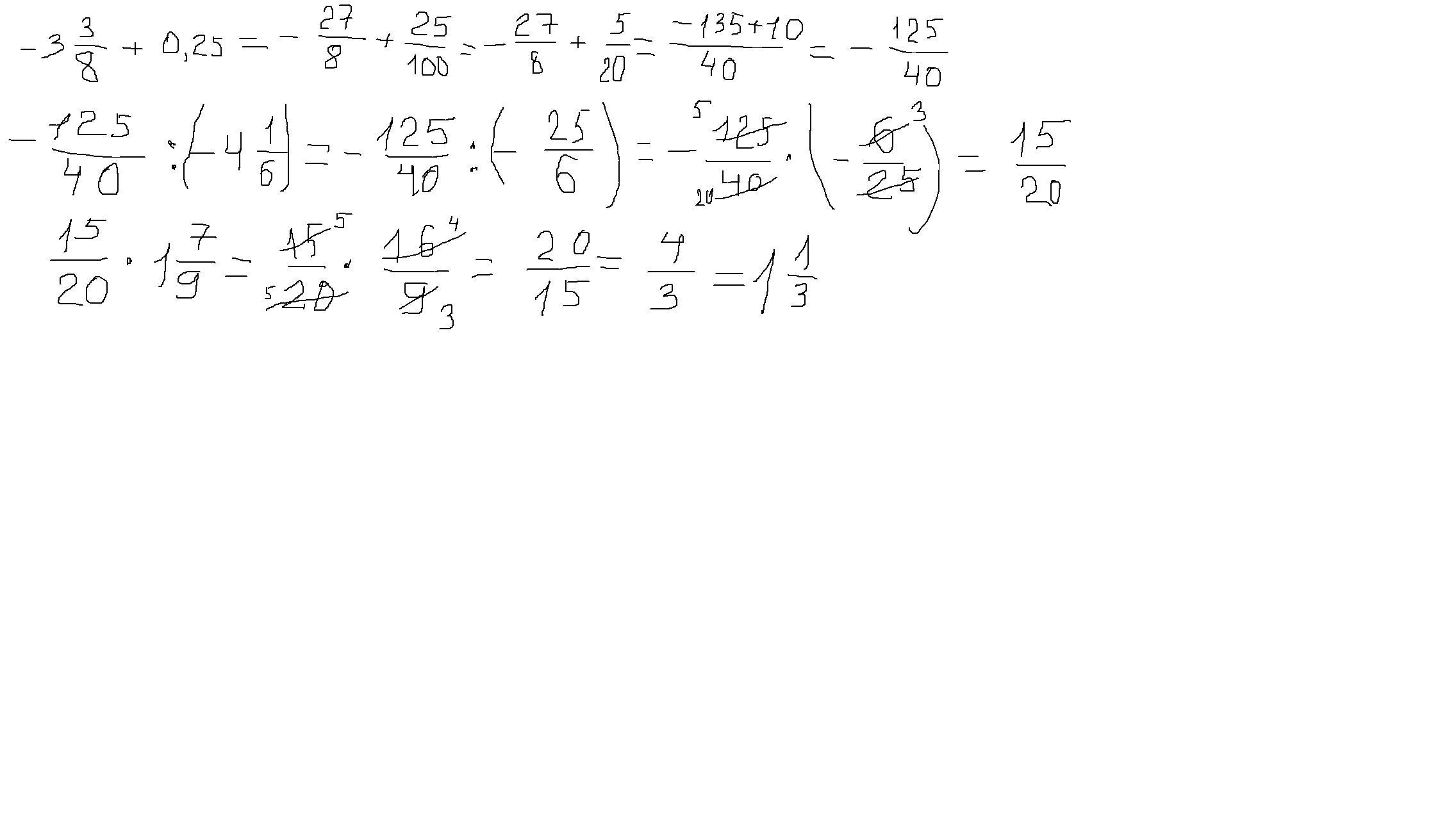
Ответ:
Пошаговое объяснение:
Приложения:

Вас заинтересует
2 года назад
2 года назад
2 года назад
2 года назад
7 лет назад
7 лет назад
9 лет назад