• Предмет: Алгебра
  • Автор: nastiabojko1415
  • Вопрос задан 3 года назад

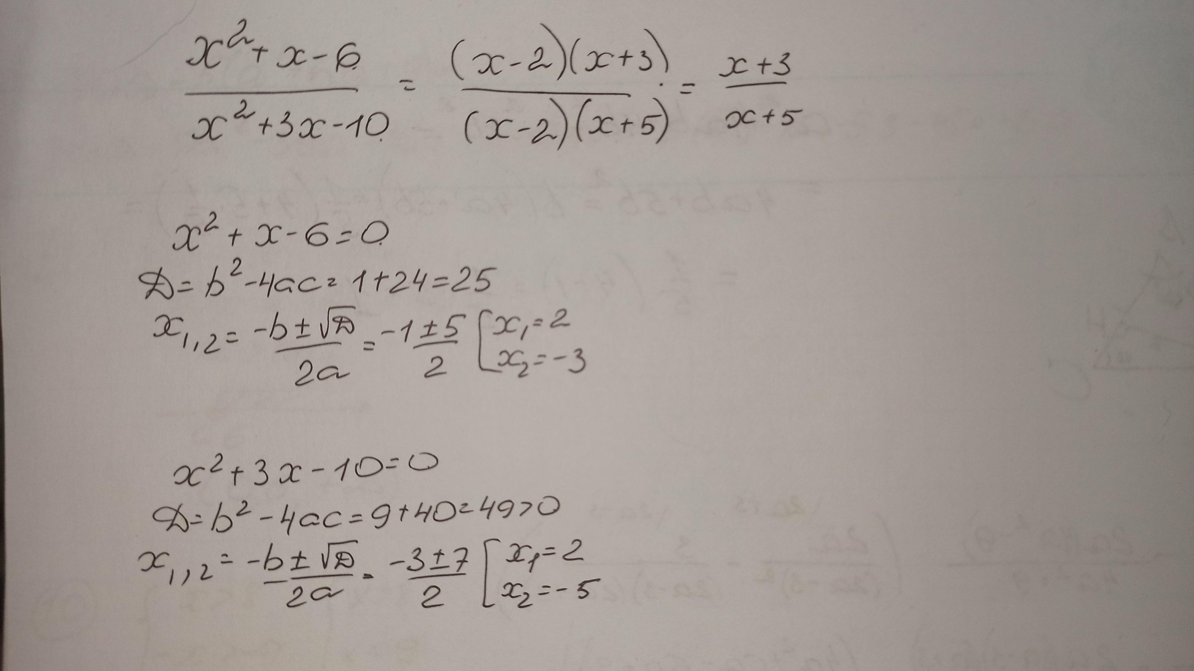
Х ВО 2 СТЕПЕНИ +Х -6 ПОДЕЛИТЬ (НИЖНЯЯ ПОЛОСА) НА Х ВО 2 СТЕПЕНИ+3Х - 10
УМОЛЯЮ ДАЮ 15 БАЛОВ..


scorostnaja: Что сделать надо? Сократить?

Ответы

Ответ дал: scorostnaja
1

Ответ:

Объяснение:у вас вопроса к заданию нет. Если сократить, то решение на фото

Приложения:

nastiabojko1415: спасибо огромное)))
scorostnaja: Пожалуйста. Я правильно поняла ваше условие?)
nastiabojko1415: да все правильно.
Вас заинтересует