Ответы
Ответ дал:
1
Ответ:
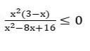
x∈[0]∪[3;4)∪(4;+∞)
Объяснение:
Нанесём найденные точки на числовую ось:
Приложения:

Вас заинтересует
2 года назад
2 года назад
2 года назад
2 года назад
7 лет назад
9 лет назад
9 лет назад