• Предмет: Алгебра
  • Автор: anzhelikapapikuan006
  • Вопрос задан 3 года назад

СРОЧНО СРОЧНО СРОЧНО СРОЧНО СРОЧНО СРОЧНО СРОЧНО

Приложения:

Ответы

Ответ дал: hedggehog
0

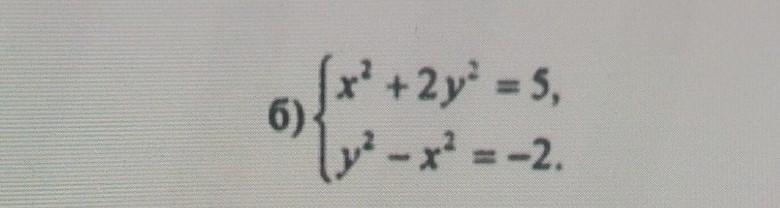
Из второго уравнения вынесем х²:

х²=у²+2

Подставим значение х² в первое уравнение:

у²+2+2у²=5

3у²=3

у²=1

у=-1; у=1.

найдем Х:

х²=(-1)²+2=3 => х=-√3; х=√3

х²= 1²+2=3 => х=-√3; х=√3

Ответ: (х1, у1)=(-√3, -1), (х2, у2)=(√3, -1), (х3, у3)=(-√3,1), (х4, у4)=(√3, 1)


anzhelikapapikuan006: без корней решите
hedggehog: как я решу это без корней?
hedggehog: хотя, корень из 3 примерно равен 1,7
hedggehog: подставь если хочешь
Вас заинтересует