• Предмет: Алгебра
  • Автор: DARISANA
  • Вопрос задан 3 года назад

Найдите интеграл!!!Заранее спасибо

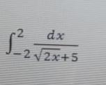
Приложения:

Ответы

Ответ дал: ВинтЛили
0

Ответ:

(2-2i)-5㏑7+(5㏑29)/2+5iarctg(2/5)

Объяснение:

∫dx/(√(2x)+5)║-2;2║=√(2x)-5㏑(√(2x)+5)║-2;2║=(2-2i)-5㏑7+(5㏑29)/2+5iarctg(2/5)

∫dx/(√(2x)+5)=2∫u/(√2u+5)du=2∫(1/√2-5/(√2(√2u+5))du=-5√2∫1/(√2u+5)du+√2∫1du=-5∫1/sds+√2∫1du=√2u+5㏑s+C=√2u-5㏑(√2u+5)+C=√(2x)-5㏑(√(2x)+5)+C

u=√x

du=1/(2√x)dx

s=√2u

ds=√2du

√(2x)-5㏑(√(2x)+5) при x=-2

2i-5㏑(5+2i)

√(2x)-5㏑(√(2x)+5) при x=2

2-5㏑7

так вроде, но я не уверена.

Вас заинтересует