• Предмет: Математика
  • Автор: Rin10643
  • Вопрос задан 3 года назад

Решите по математике плиз, только одно задание .

Приложения:

Ответы

Ответ дал: karolino6ka19
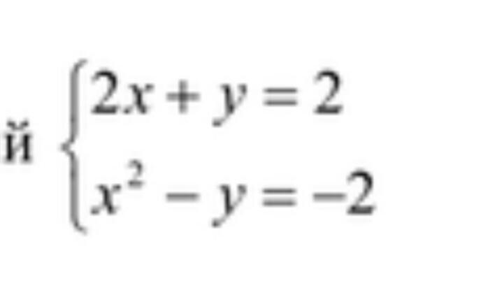
1

Ответ:

(x1, y1) = (0, 2)

(x2, y2) = (-2, 6)

Пошаговое объяснение:

\left \{ {{y=2-2x} \atop {x^{2}-y =-2}} \right.

x^{2} - (2-2x) = -2

x=0

x=-2

y= 2-2*0

y=2-2-(-2)

y=2

y=6


Rin10643: Спасибо, выручили!
karolino6ka19: пожалуйста)
Вас заинтересует